专家:我国建立60个大气CO2观测站点很有必要_北京时间

专家:我国建立60个大气CO2观测站点很有必要

(记者 崔倩)通过优化大气二氧化碳(CO2)观测站点选址,中国科学院青藏高原研究所汪宜龙副研究员和田向军研究员联合多名合作者,提出了大气CO2浓度观测的地面站点布设方案。研究认为,在我国建立60个大气CO2观测站点很有必要,同化观测数据时,利用大气反演的方法估算我国陆地碳汇量的准确性将达到欧美先进水平。该成果近日发表在《科学通报》。
该文章的第一作者汪宜龙介绍,陆地生态系统碳汇是中国实现碳中和的重要支撑,厘清中国陆地生态系统碳汇的大小和时空分布对于了解碳汇现状和预估未来碳汇潜力至关重要,也为中国制定减排增汇政策措施、实现碳中和目标起到关键支撑作用。
大气反演法是一种测量碳汇的方法,是基于大气CO2浓度观测数据与大气传输模型,结合人为源CO2排放清单,评估陆地碳汇的重要手段。目前,我国高标准的地面CO2观测站点较稀疏,是大气反演估算中国陆地生态系统碳收支的瓶颈。如何扩展、优化现有观测网络,通过科学经济方法选址,新增大气CO2观测站点,提高中国陆地碳汇的估算精度是亟需解决的问题。
该研究采用最优化思路,遍历所有模型网格,在现有站点基础上找到最优的新增站点位置,通过反复迭代,最终选取52个新增站点,连同现有8个站点构成中国大气CO2浓度地面站点观测网络。
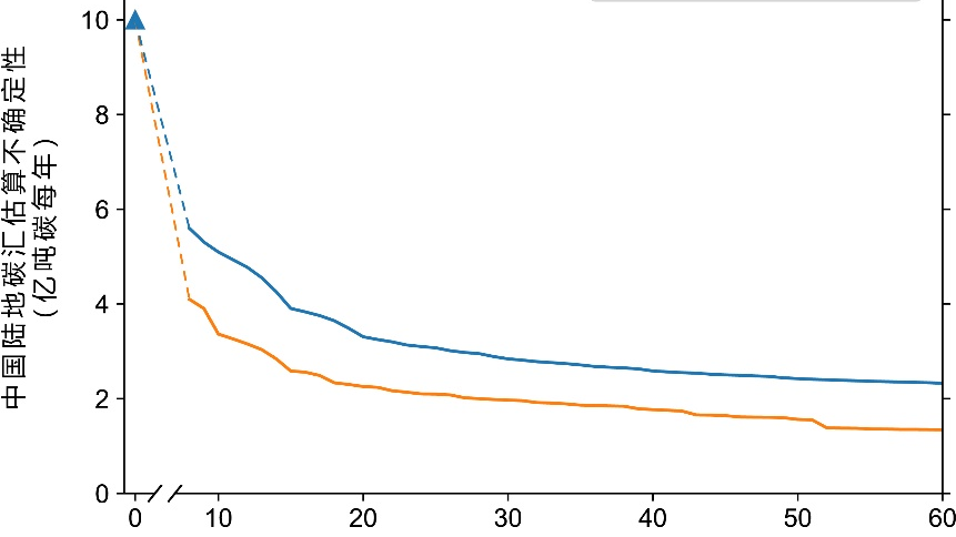
研究结果表明,在现有站点基础上,亟需在植被生长季生产力较高的东南、东北、华北和青藏高原地区增设CO2观测站点。若在我国建设30个观测站点,可将碳汇估算的不确定性从10亿吨碳每年降低至3亿吨碳每年;建设60个观测站点,可将不确定性进一步降低至2亿吨碳每年(图蓝色曲线)。研究人员还进一步证明该观测网络具有广泛适用性,当反演使用不同输入和配置时,该观测网络仍对中国碳汇有较高的估算精度(图橙色曲线)。
中国陆地碳汇估算不确定性与站点数量关系
该研究中提出的站点位置包含了现有卫星覆盖度较低的区域和地形复杂区域,与卫星观测资料形成有效互补。这些站点将成为“天-空-地”综合碳观测系统的重要组成部分,服务于中国CO2收支反演和精准核算。

专家:我国建立60个大气CO2观测站点很有必要

(记者 崔倩)通过优化大气二氧化碳(CO2)观测站点选址,中国科学院青藏高原研究所汪宜龙副研究员和田向军研究员联合多名合作者,提出了大气CO2浓度观测的地面站点布设方案。研究认为,在我国建立60个大气CO2观测站点很有必要,同化观测数据时,利用大气反演的方法估算我国陆地碳汇量的准确性将达到欧美先进水平。该成果近日发表在《科学通报》。
该文章的第一作者汪宜龙介绍,陆地生态系统碳汇是中国实现碳中和的重要支撑,厘清中国陆地生态系统碳汇的大小和时空分布对于了解碳汇现状和预估未来碳汇潜力至关重要,也为中国制定减排增汇政策措施、实现碳中和目标起到关键支撑作用。
大气反演法是一种测量碳汇的方法,是基于大气CO2浓度观测数据与大气传输模型,结合人为源CO2排放清单,评估陆地碳汇的重要手段。目前,我国高标准的地面CO2观测站点较稀疏,是大气反演估算中国陆地生态系统碳收支的瓶颈。如何扩展、优化现有观测网络,通过科学经济方法选址,新增大气CO2观测站点,提高中国陆地碳汇的估算精度是亟需解决的问题。
该研究采用最优化思路,遍历所有模型网格,在现有站点基础上找到最优的新增站点位置,通过反复迭代,最终选取52个新增站点,连同现有8个站点构成中国大气CO2浓度地面站点观测网络。
研究结果表明,在现有站点基础上,亟需在植被生长季生产力较高的东南、东北、华北和青藏高原地区增设CO2观测站点。若在我国建设30个观测站点,可将碳汇估算的不确定性从10亿吨碳每年降低至3亿吨碳每年;建设60个观测站点,可将不确定性进一步降低至2亿吨碳每年(图蓝色曲线)。研究人员还进一步证明该观测网络具有广泛适用性,当反演使用不同输入和配置时,该观测网络仍对中国碳汇有较高的估算精度(图橙色曲线)。
中国陆地碳汇估算不确定性与站点数量关系
该研究中提出的站点位置包含了现有卫星覆盖度较低的区域和地形复杂区域,与卫星观测资料形成有效互补。这些站点将成为“天-空-地”综合碳观测系统的重要组成部分,服务于中国CO2收支反演和精准核算。